Este es el examen resuelto de Matemáticas de la Selectividad en Andalucía 2023
La complejidad de la prueba ha generado polémica entre los alumnos que se han enfrentado a ella este miércoles
Quejas por el examen de Matemáticas en la Selectividad Andalucía 2023: «Ha habido ejercicios que eran de facultad»
Coco Chanel, Camarón, la torre Eiffel y Pilar Miró en el examen de Arte de Selectividad en Andalucía en 2023
Sevilla
Esta funcionalidad es sólo para registrados
Iniciar sesiónLos exámenes de Selectividad siempre son un momento muy importante para los alumnos que pretenden sacar la mejor nota posible para poder acceder a las titulaciones que desean cursar en su paso a la Universidad. El ir más o menos preparado depende de cada ... alumno, al igual que influye también el estado de nervios o calma con el que se afronten las pruebas, que evidentemente condicionan un buen resultado ante las preguntas que se plantean.
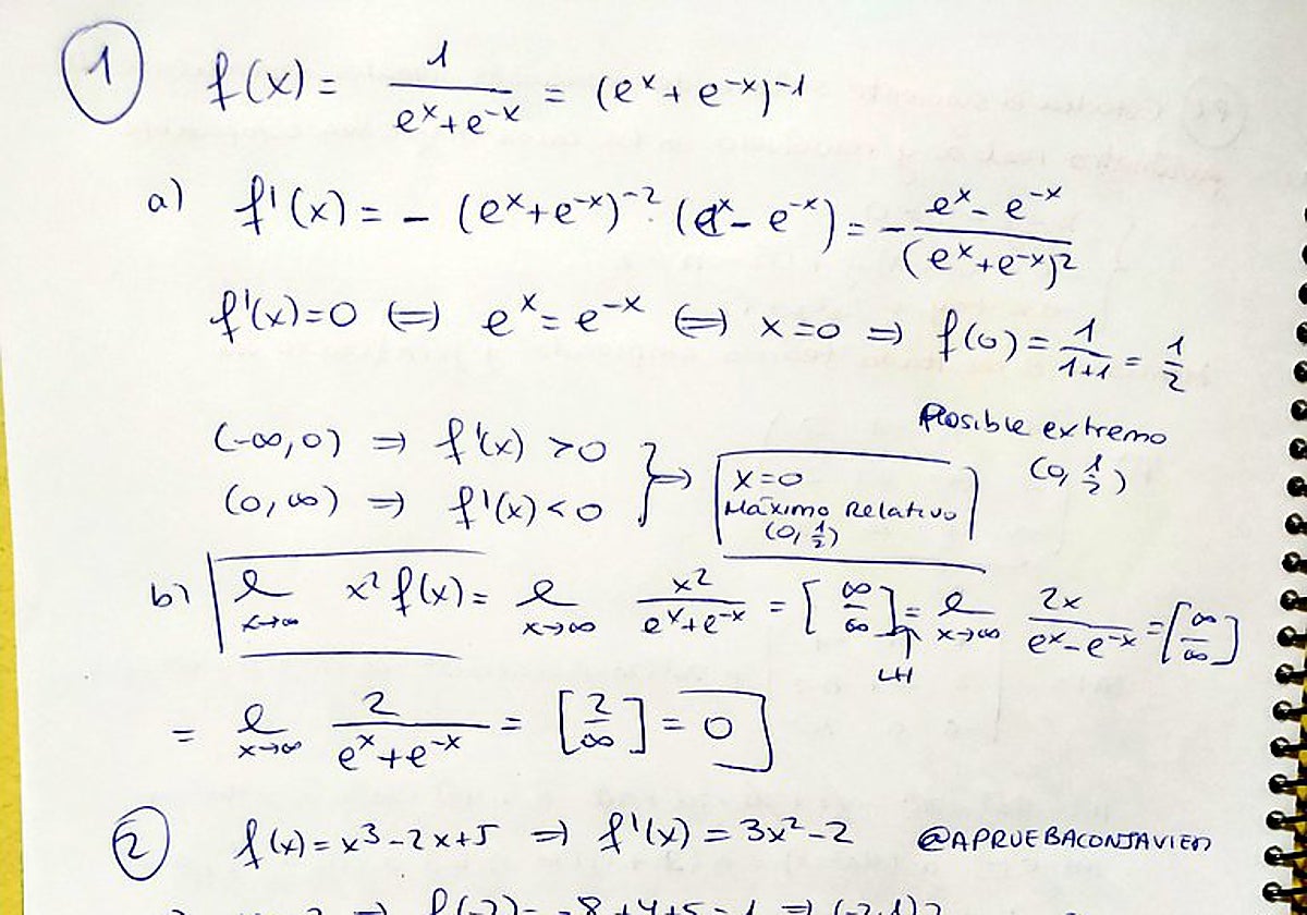
El examen de Matemáticas II que se ha llevado a cabo esta mañana en el segundo día de las pruebas de acceso a la Universidad de Andalucía ha generado cierta polémica entre los alumnos que lo han realizado, manifestando muchos de ellos que eran de una dificultad más propia de la etapa universitaria que del Bachillerato.
Algunos alumnos lamentaban que la dureza de este examen propiciará que la nota les baje y puedan verse comprometidas sus notas de acceso a licenciaturas que exigen medias muy elevadas, como puede ser Medicina.
Pues bien, nada más conocerse los ejercicios y enunciados de las preguntas de las que constaba el examen de Matemáticas II de Selectividad en Andalucía eran varios los profesores que, mediante las redes sociales, publicaban cómo se resuelve dicho examen de manera correcta, con el objeto de que los alumnos pudieran comprobar sus resultados y si lo habían realizado de la manera correcta.
EXAMEN PEVAU ANDALUCÍA MATEMÁTICAS 2 RESUELTO . Suerte 🍀 pic.twitter.com/prnQgrroHb
— 𝔼𝕝𝕡𝕣𝕠𝕗𝕖𝔽𝕣𝕒𝕟𝕕𝕖𝕄𝕒𝕥𝕖𝕤 (@Fralome_10) June 14, 2023
Profesores de matemáticas con perfil en redes sociales como Francisco López, de 'El profe Fran de Mates' (@fralome_10) o Javier de 'Aprueba con Javier' (@apruebacnjavier) han realizado el examen nada más conocer la prueba y lo han publicado en sus cuentas para que los alumnos que tengan dudas de cómo se resolvía lo pudieran comprobar mirando sus respectivas pruebas.
Examen completo Matemáticas II Andalucía 💃💚
— Aprueba Con Javier (@apruebacnjavier) June 14, 2023
¡Suerte a todos!#pevau2023 #pevau #selectividad #ebau #evau pic.twitter.com/V77BBfGAb7
«El examen se puede hacer de sobra»
Si bien los profesores que han resuelto el examen se han limitado a desear suerte a los alumnos y no han entrado a valorar su dificultad, sí lo hizo Emilio Carrizosa, presidente de math-in | Red Española Matemática, que aseguró a ABC que el examen «se puede hacer de sobra con las herramientas que los estudiantes han manejado en Bachillerato y que hay algunos ejercicios que son, lamentablemente, lo de siempre. En este sentido, señalaba que la prueba sirve para «detectar si el estudiante ha memorizado, quizás sin entender ni mucho ni poco, unos pasos mecánicos».
Esta funcionalidad es sólo para suscriptores
Suscribete
Esta funcionalidad es sólo para registrados
Iniciar sesiónEsta funcionalidad es sólo para suscriptores
Suscribete