ABCdario de las Matemáticas
El número de Euler, la otra constante que está en todas partes
El día e, celebrado el 7 de febrero, no es tan famoso como el de Pi, pero rinde homenaje a una constante fundamental en las matemáticas
Fernando Corbalán
Es bien conocido que el día 14 de marzo es el Día π, porque su valor aproximado es 3,14, que es la forma en que se escribe en muchos países (no en el nuestro) ese día: 3/14. Pero hay otro día cuya existencia ... está menos extendida y que también tiene que ver con un número con nombre propio: el día e que se ha celebrado, con menos pompa, el pasado día 7 de febrero (ya que su valor aproximado es 2,7).
Noticias relacionadas
Algunos números son tan importantes que se les ha asignado un nombre propio. El primero con el que nos topamos en nuestra vida escolar es π, la relación constante entre la longitud de cualquier circunferencia y la longitud de su diámetro (o el doble de su radio). De ahí la popular fórmula de la longitud L de una circunferencia: L = 2πr.
Hay otros dos muy extendidos aunque un poco menos populares: i y e. El número e se llama así en honor de Leonhard Euler (1707-83) uno de los matemáticos más importantes de la historia (sin ninguna duda en el top ten y casi seguro también en el top five). Aunque Euler fue extremadamente productivo en su larga vida, continuando las publicaciones incluso después de quedar completamente ciego, lo cierto es que el número que le honra con su inicial no fue uno de sus descubrimientos, porque quien lo puso en el candelero fue el matemático suizo Jacob Bernoulli (1654-1705) cuando estudiaba el interés compuesto, al ir haciendo cada vez más pequeño el periodo de capitalización.
Bien estará ya decir la definición de e:
calculamos su valor aproximado tenemos que e ≈ 2,718 . Por eso el 7 de febrero (2/7) es el ‘día e’. Y en el caso de este año todavía hay una coincidencia mayor, puesto que es el día 7 de febrero del año 2018: 2/7/18. Justo las cuatro primeras cifras de e.
Puesto que e aparece en la función exponencial, que modela el crecimiento, su presencia es destacada cuando estudiamos el crecimiento o decrecimiento acelerados , como pueden ser las poblaciones de bacterias, la propagación de enfermedades (como la epidemia de gripe que nos asola) o la desintegración radioactiva , lo que es también de utilidad en la datación de fósiles . De una manera similar a la presencia de la constante π en todo lo que es redondo.
Para calcular valores aproximados de e se puede utilizar la serie descubierta por Newton (1643-1727) en 1665, a partir del valor
en la que los sumandos decrecen muy rápidamente, lo que hace que se encuentren pronto muy buenas aproximaciones de e.
El número e es irracional (no se puede poner en forma de fracción) y también trascendente (no existe ninguna ecuación polinómica de la que sea raíz o solución), demostrado por Hermite en 1873, siendo el primer número del cual fue demostrada su trascendencia. Es también el único número real a tal que
Y también el único a tal que la función f(x) = ax sea igual a su derivada. Además e es la base de los logaritmos neperianos (razón por la cual en todas las calculadoras hay una tecla con el valor de e).
El número e aparece de forma destacada en muchos campos de las matemáticas. Citaremos solo dos. La catenaria es la curva que se forma al suspender de dos puntos una cuerda o cadena de peso uniforme (una curva ampliamente utilizada por Gaudí, por ejemplo). La ecuación de una catenaria que tenga su mínimo (el punto más bajo) en el punto P(0,1) es
Y en estadística, la conocida campana de Gauss , la curva de la distribución normal también tiene en su ecuación al número e. En el caso más sencillo de media 0 y desviación típica 1 es
Del número e, como de otros números destacados, como π, se conocen millones de números decimales exactos de su desarrollo . Y aprovechando el reciente día e están bastantes a disposición de todo el mundo para comprobar que en él están cualquiera de las secuencias de números que queramos. En particular en esta página están las primeros 60 000 cifras decimales de e, y además nos busca dónde está la fecha (día y mes) de nuestro cumpleaños: así podemos encontrar una relación personal directa con un número tan destacado. Si quisiéramos alguna relación todavía más estrecha, podríamos asignar un número a cada letra del alfabeto, y de esa manera encontrar también nuestro nombre dentro de los decimales de e (así como cualquier otro texto que se nos ocurra).
A pesar de ser un número bastante especial, se conjetura que e es un número ‘normal’ en sentido matemático: aquellos en que todas las posibles secuencias de dígitos de cierta longitud aparecen con la misma frecuencia en su expresión decimal. Es decir, que hay aproximadamente tantos 1 como 9, tantos 32 como 84, tantos 0000 como 3333, y, en general, la misma frecuencia en secuencias numéricas cualesquiera de la misma longitud. Pero por el momento no se ha demostrado esa ‘normalidad’. Si quieren un número normal lo pueden formar escribiendo de forma sucesiva a partir de la coma los números naturales consecutivos:
0,1234567891011121314…..
El día de Pi
Más conocido es el día Pi, que será el próximo día 14 de marzo, puesto que π≈ 3,14 (y por tanto que ese día se escribe como 3/14 en muchos países). Alrededor de ese día se celebran en todo el mundo multitud de actos relacionados con las matemáticas y su popularización (que pueden consultarse en el sitio web dedicado a este evento ). Ya nos referimos a algunas de las características de π el año pasado por estas fechas
En nuestro país, por segundo año, y de forma coordinada, también hay iniciativas múltiples, algunas de las cuales se recogen aquí . En la puesta en marcha de todo ello hay varias organizaciones, entre ellas la RSME que es la promotora de esta sección ABCDARIO de las matemáticas. Hay un acto central, que se celebra el 14 de marzo, y que cada año tendrá lugar en una ciudad diferente. Se hizo el año pasado en Sevilla y este año será en Salamanca, en el teatro Juan de la Encina.
Hay un concurso abierto con el tema del número π en las modalidades de cómic (para alumnos de primaria), relatos (para estudiantes de ESO) y vídeos (para quienes cursan bachillerato o ciclos superiores) con plazo de envío hasta el 22 de febrero. Seguro que en nuestro entorno próximo hay estudiantes a los que podemos hacer partícipes del mismo. Es importante para el presente y el futuro de nuestra sociedad que se despierten vocaciones científicas, tanto en chicos como, sobre todo, por estar todavía menos potenciadas, en chicas. Hay que recordar que estamos inmersos en las acciones en torno al 11 de febrero, en que se celebra en todo el mundo el Día Internacional de la Mujer y la Niña en la Ciencia , una cita que trata de contribuir a la participación plena y al impulso de las vocaciones científicas entre las más jóvenes.
Algunos de los ganadores del concurso de videos de 2107 encontraron sitio en estas páginas . Se pueden ver todos los premiados del año pasado, en todas las modalidades, en esta web .
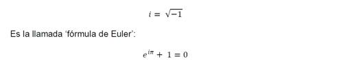
Y por fin recordar una relación bien curiosa entre estos dos números que tienen su día en el calendario, junto con dos números especiales, el 0 y el 1, y además otro número con nombre propio, i, que es la unidad imaginaria:
que para muchos es la fórmula más bella de las matemáticas , porque relaciona cinco de las constante numéricas más importantes, que además provienen de campos bien diferentes.
Fernando Corbalán. Universidad de Zaragoza. Miembro de la Comisión de divulgación de la RSME.
El ABCdario de las Matemáticas es una sección que surge de la colaboración con la Comisión de Divulgación de la Real Sociedad Matemática Española (RSME).
El número de Euler, la otra constante que está en todas partes
Esta funcionalidad es sólo para suscriptores
Suscribete
Esta funcionalidad es sólo para registrados
Iniciar sesiónEsta funcionalidad es sólo para suscriptores
Suscribete