El precio de la vivienda sigue al alza en Sevilla: ha subido un 11,5% desde 2024
Una vivienda cuesta de media en Sevilla capital 2.426 euros por metro cuadrado, un 4,9% más que en marzo
El Casco Antiguo alcanza su máximo histórico y se sitúa a la cabeza de la ciudad con 3.894 euros de media
El área metropolitana de Sevilla se encarece pese a la mayor oferta inmobiliaria
La opinión de Adriano: Otra crisis de la vivienda
Esta funcionalidad es sólo para registrados
Iniciar sesiónSuma y sigue. El precio de la vivienda en Sevilla y su área metropolitana, totalmente recuperado desde hace tiempo tras el frenazo en seco de los años de la pandemia, continúa escalando posiciones en una subida que no parece tener fin.
No es una ... simple percepción, ya que así lo señalan los datos que se extraen del último barómetro del mercado residencial de Andalucía correspondiente al segundo trimestre de 2025 realizado por Gloval, grupo dedicado a los servicios de valoración, ingeniería y consultoría inmobiliaria.
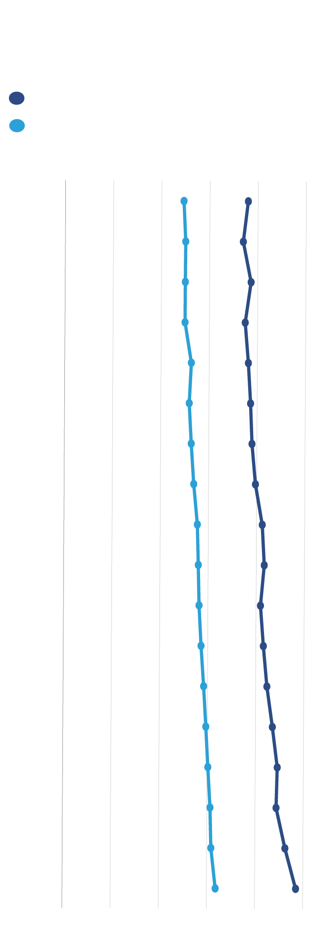
El mencionado informe muestra la situación inflacionista de las capitales de provincia andaluzas y desgrana los datos de las áreas metropolitanas sevillana, malagueña y gaditana con cifras más que llamativas. Sólo en el último año, los precios de venta se han incrementado un 11,5% en la ciudad de Sevilla, alcanzando los 2.426 euros de media por metro cuadrado. Otros barómetros, como el de Idealista, ofrecen un porcentaje aún más alto, del 14,5%, batiendo récords históricos. Según Gloval, la subida ha sido del 4,9% desde el pasado mes de marzo, siendo la capital de provincia andaluza que más se ha encarecido en el último trimestre.
Evolución del valor de la vivienda en Sevilla y Área Metropolitana
2.500
2.000
1.500
1.000
Sevilla
500
Área Metropolitana de Sevilla
0
1T 2021
2T 2021
1T 2022
4T 2021
1T 2025
4T 2024
3T 2021
2T 2025
4T 2022
3T 2024
1T 2023
2T 2024
2T 2023
3T 2022
1T 2024
2T 2022
4T 2023
3T 2023
Fuente: Gloval Analytics
Evolución del valor de la vivienda en Sevilla y Área Metropolitana
Sevilla
Área Metropolitana de Sevilla
1T 2021
0
500
1.000
2.500
1.500
2.000
2T 2021
3T 2021
4T 2021
1T 2022
2T 2022
3T 2022
4T 2022
1T 2023
2T 2023
3T 2023
4T 2023
1T 2024
2T 2024
3T 2024
4T 2024
1T 2025
2T 2025
Fuente: Gloval Analytics
El resto también se mueve en sentido ascendente, con Huelva y Málaga superando también el 4% en los tres últimos meses. En lo que respecta al crecimiento anual, la ya mencionada subida del 11,5% es la tercera más alta de Andalucía, por detrás del 17% de Málaga y casi pareja al 12% de Granada. Como siempre, Sevilla forma parte del trío de capitales andaluzas más caras para vivir, situándose sólo a la cola de los voluminosos 3.137 euros por metro cuadrado de media de la capital de la Costa del Sol y los 2.899 euros de Cádiz.
El precio sube el doble que en Barcelona
Si comparamos con las dos grandes capitales españolas con datos del primer trimestre, Madrid registra un precio medio de 4.530 euros por metro cuadrado, con un incremento interanual del 14,9%. Barcelona, por su parte, presenta un crecimiento mucho más moderado: el precio se sitúa en 4.175 euros por metro cuadrado, con una subida anual del 6,3%.
Esto significa que Sevilla, aunque es mucho menos cara que ambas, crece al doble de ritmo que Barcelona, si bien sigue claramente por debajo de Madrid en los niveles absolutos de precios. No obstante, el crecimiento de dos dígitos en Sevilla refleja un comportamiento muy activo del mercado residencial, similar al que se observa en Madrid, y muy por encima del registrado en la capital catalana, mientras el poder adquisitivo permanece estancado.
El alquiler, también por las nubes
La descompensación entre la alta demanda y la baja oferta inmobiliaria en la capital hispalense, unida al aumento generalizado de los precios de la vivienda en el país da lugar a esta situación que hace que para muchas personas sea toda una utopía acceder a un hogar en propiedad en la ciudad y busquen alternativas como el área metropolitana o el alquiler.
Sin embargo, el precio de arrendar una vivienda en Sevilla ha aumentado un 70% en la última década, alcanzando una renta media de 12,64 euros por metro cuadrado al mes. Se trata de la segunda capital andaluza con el valor más alto, superada únicamente por Málaga. La rentabilidad bruta de la vivienda en Sevilla es del 6,25%, una cifra «competitiva respecto a otras ciudades de la comunidad», apuntan desde Gloval.
Aumentos por barrios
Aunque la subida de los precios es generalizada, no se distribuye de igual manera entre los barrios y distritos hispalenses. Algunos de ellos, como el más caro de todos, el Casco Antiguo, han alcanzado su máximo histórico en junio si atendemos a los datos del último informe del portal inmobiliario Idealista. Su precio medio de venta es de 3.894 euros por metro cuadrado, un 7,9% más que hace un año. También rompe sus techos La Palmera-Los Bermejales, con un crecimiento del 12,9% y un precio medio de 3.167; Sevilla Este, que sube un 11,4%; o la Macarena, con un salto de nada menos que el 27,9%. Los Remedios se ha encarecido un 10,9% en un año, hasta los 3.514 euros de media; precio casi idéntico a los 3.459 euros del Pòrvenir.
Límite de sesiones alcanzadas
- El acceso al contenido Premium está abierto por cortesía del establecimiento donde te encuentras, pero ahora mismo hay demasiados usuarios conectados a la vez. Por favor, inténtalo pasados unos minutos.
Has superado el límite de sesiones
- Sólo puedes tener tres sesiones iniciadas a la vez. Hemos cerrado la sesión más antigua para que sigas navegando sin límites en el resto.
Esta funcionalidad es sólo para suscriptores
Suscribete
Esta funcionalidad es sólo para registrados
Iniciar sesiónEsta funcionalidad es sólo para suscriptores
Suscribete