fuerte competencia
La guerra de precios agita a los súper y les permite ganar clientes
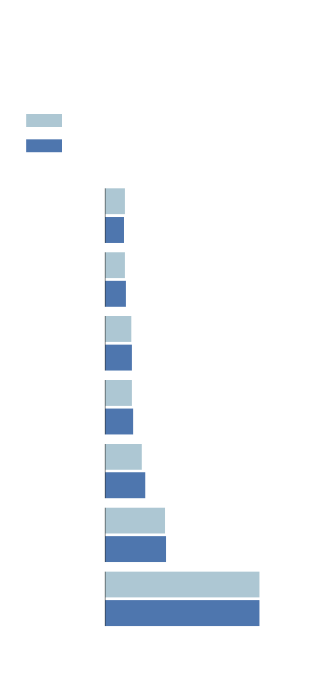
Lidl alcanzó al cierre del primer trimestre su mayor cuota de mercado en España
Los supermercados dispararon sus promociones en enero por encima del 10%
Madrid
Esta funcionalidad es sólo para registrados
Iniciar sesiónLa guerra de precios ha agitado a los supermercados, que en los últimos meses han incrementado su esfuerzo promocional para tratar de captar a un cliente preocupado por su bolsillo y por el ahorro.
En este tiempo, ninguna de las grandes cadenas ... ha resultado perjudicada por este control del gasto, según se desprende de los datos que maneja la consultora Kantar. De hecho, la mayoría de ellas han logrado ganar compradores en sus tiendas en este trimestre, como es el caso de Eroski (del 4,3% de enero al 4,4% de marzo), de Dia (del 4,4% al 4,6%) o de Carrefour (9,8% a 10%), frente al de Mercadona, que se ha mantendido estable en un 25,3% de cuota, o el de Alcampo, que ha bajado del 3,2% al 3,1%.
No obstante, el caso de Lidl destaca sobre el resto. La compañía alemana, que está en pleno proceso de expansión en nuestro país, ha alcanzado a cierre de marzo su mayor cuota de mercado en España, con un 6,6%, frente al 6% de enero, y muy por encima del 5,3% con el que contaba hace un año. En un momento en el que los precios están determinando qué entra y qué no en la cesta de los compradores, Lidl se beneficia de su apuesta por el modelo 'hard discount' o de «gran descuento».
Cuotas de mercado de la distribución
En porcentaje
25,3
25,3
Inicio de enero 2023
Final de marzo 2023
10,0
9,8
6,6
6,0
4,6
4,4
4,4
4,3
3,4
3,2
3,1
3,2
Alcampo
Consum
Eroski
Dia
Lidl
Carrefour
Mercadona
Fuente: Kantar
ABC
Cuotas de mercado
de la distribución
En porcentaje
Inicio de enero 2023
Final de marzo 2023
3,2
Alcampo
3,1
3,2
Consum
3,4
4,3
Eroski
4,4
4,4
Dia
4,6
6,0
Lidl
6,6
9,8
Carrefour
10,0
25,3
Mercadona
25,3
Fuente: Kantar
ABC
Este modelo, que también pone en práctica su competidora Aldi, hace referencia al establecimiento de comercio minorista que está centrado en vender en su mayoría marcas propias de productos de bajo precio y de gran consumo, con bajos márgenes comerciales y con un surtido reducido. En este sentido, la marca blanca es la gran protagonista en los lineales de estas tiendas, donde la política de la compañía está basada en el control constante de costes.
«El incremento de los precios ha penalizado a la distribución tradicional y ha acelerado el trasvase hacia la organizada, con el surtido corto –enseñas cuyo modelo está intrínsecamente relacionado con la apuesta por su marca de la distribución– como principal beneficiado», explicaban ya hace unos meses los expertos de Kantar.
El modelo de negocio de Lidl es por tanto la principal causa que explica su crecimiento en cuota en este trimestre, pero no la única.
El Gobierno teme que la sequía impacte en la moderación de los precios
Nerea San EstebanLa mesa de la sequía se reúne este miércoles para hacer un análisis de situación y estudiar medidas para paliar su efecto
La alemana ha puesto en marcha un proceso de expansión agresiva en nuestro país, lo que le está permitiendo captar clientes en lugares donde hasta ahora no estaba presente. No en vano, desde que comenzó el año Lidl ha levantado la persiana o está a punto de hacerlo a más de media docena de establecimientos, ubicados en diferentes lugares de Andalucía, Comunidad Valenciana, Castilla- La Mancha o Cataluña; dos de estas tiendas se pondrán en marcha este mes de abril.
El objetivo de la compañía es acelerar su ritmo de aperturas a lo largo de todo el ejercicio, en línea con los años anteriores. Solo en 2022, abrió unas 40 tiendas en España, además de una plataforma logística.
Promociones en el supermercado
La progresiva «normalización» de los costes que los distribuidores empiezan a detectar a lo largo de la cadena les está permitiendo dar luz verde a estrategias comerciales para tratar de captar clientes preocupados por los precios. En esta línea, la mayoría de los supermercados han puesto en marcha en sus tiendas desde que comenzó el año diferentes promociones centradas en la cesta más básica, la de alimentación. Como consta en un reciente informe de la consultora Kantar, durante el mes de enero los supermercados realizaron más promociones que nunca; en concreto, un 10,2% del total de alimentación fueron productos que recogían ofertas en el propio envase, estaban incluidos en los folletos de publicidad o tenían aplicada una reducción de precio directa.
Se trata de una estrategia que responde al objetivo de los supermercados de «dinamizar las ventas», como recogía hace unas semanas un sondeo interno realizado por la patronal Aecoc. Con esto, las compañías pretenden mantener su rentabilidad después de detectar una caída de volumen en las cestas derivada de la subida de precios: los clientes compran menos en cada visita para tratar de controlar el gasto que hacen en cada cesta.
Límite de sesiones alcanzadas
- El acceso al contenido Premium está abierto por cortesía del establecimiento donde te encuentras, pero ahora mismo hay demasiados usuarios conectados a la vez. Por favor, inténtalo pasados unos minutos.
Has superado el límite de sesiones
- Sólo puedes tener tres sesiones iniciadas a la vez. Hemos cerrado la sesión más antigua para que sigas navegando sin límites en el resto.
Esta funcionalidad es sólo para suscriptores
Suscribete
Esta funcionalidad es sólo para registrados
Iniciar sesiónEsta funcionalidad es sólo para suscriptores
Suscribete