ABCdario de las matemáticas
El teorema más largo de la Historia y otras «monstruosidades» matemáticas
Simetría, álgebra, teoría de cuerdas... El autor se adentra en un mundo de números gigantescos y casualidades que no lo son tanto
Alfonso J. Población
En la última reseña que redacté para esta sección ( Las matemáticas que puede esconder un dónut , 3 de Noviembre de 2017) hablábamos de los grupos finitos , y adelantábamos un hecho singular en el que, contradiciendo el célebre dicho, la ficción superaba la ... realidad. Como lo prometido es deuda, sirva esta nueva entrada para explicar el hecho.
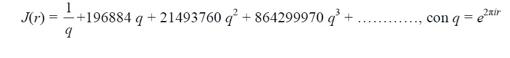
Comentábamos que, en 1978, al matemático John McKay le pareció curioso que, trabajando en un campo que no tenía nada que ver con la teoría de grupos, las funciones modulares (mediante estas funciones, Andrew Wiles probó el último teorema de Fermat ), le apareciera como coeficiente de un desarrollo el número 196884, que es la suma de las dimensiones de los espacios posibles en los que se encuentra el conocido como grupo monstruo (dimensión 1 trivialmente para cualquier grupo, y dimensión 196883, la del espacio mínimo en el que puede encontrarse). Recordemos que tal grupo (denominado técnicamente como grupo de Fischer-Griess , y designado como M o también por F1), tiene
808017424794512875886459904961710757005754368000000000
elementos, es decir, aproximadamente una cantidad del tamaño de un ocho seguido de 53 ceros, más que el número de átomos existentes en miles de planetas como nuestra Tierra. Imaginemos construir la tabla de multiplicación del grupo: una cuadrícula de ese número de filas por esa misma cantidad de columnas, en las que se especifican los resultados de operar todos los elementos dos a dos. De ahí el adjetivo con el que se bautizó.
A McKay le llamó la atención porque son números grandes, no usuales. A nadie le extraña cuando en cualquier trabajo o resolviendo un ejercicio escolar la solución es, pongamos, 16. Porque este número y sus anteriores o posteriores aparecen en muchos lugares continuamente. Pero 196883 y 196884 no son habituales. Pensó, ¿tendrán alguna relación estas dos cosas (las funciones modulares, con el grupo monstruo)? Y se lo comentó a algunos colegas. Entre ellos estaban John H. Conway y Simon Norton , que lo primero que le espetaron fue algo así como que no dijera insensateces numerológicas, utilizando el término “moonshine”, que define perfectamente la situación porque como sabemos la luna no puede emitir rayo de luz alguno, y además lo relaciona con ese tipo de “iluminados” que enseguida dan por sentado cualquier tipo de coincidencias (de ahí lo de rayo, brillo, etc.). En cualquier caso, esa hipotética relación entre las funciones modulares y el grupo monstruo quedó bautizada como conjetura moonshine.
Pero las “casualidades” no acabaron ahí. A John Thompson , medallista Fields y actualmente en la Universidad de Florida, este asunto le llamó la atención, y se le ocurrió seguir el juego. El siguiente espacio en el que existe el grupo monstruo F1 tiene dimensión 21296876. No se pierde demasiado tiempo haciendo una suma, ¿verdad?
1 + 196883 + 21296876 = 21493760
¿Y qué?, se preguntarán. ¿No se lo imaginan? Echen un vistazo al coeficiente del segundo término de la función j de Klein J(r)
Mucha coincidencia, ¿no? Por otro lado, otros grupos están “apuntalados” por otras estructuras que los dan consistencia. El propio Conway había descubierto el grupo Co1 (la nomenclatura es sencillamente las dos primeras letras del apellido del descubridor, no tiene más misterio; el subíndice es una numeración, por si su autor descubría más, como así fue: existen también los grupos Co2 y Co3 ), que “habita” en un espacio de 24 dimensiones y en su estructura subyace el retículo de Leech (existe un campo de trabajo en álgebra abstracta conocida como teoría de retículos ; básicamente es una estructura algebraica con dos operaciones binarias, pero su descripción medianamente entendible nos llevaría demasiado espacio, por lo que lo dejamos para otra ocasión). El retículo de Leech se encuentra en varias aplicaciones de teoría de números y de la codificación: por ejemplo, en la generación de códigos que detecten errores en transmisiones de datos y los corrijan. Bajo otro grupo esporádico, el grupo Mathieu M24 (el matemático francés Émile Léonard Mathieu descubrió hasta cinco grupos esporádicos en el siglo XIX; Mathieu tiene a su nombre un asteroide, el 27947; por cierto, M24 tampoco es pequeñito: tiene 250 millones de elementos) subyace el código Golay que también corrige los errores de las transmisiones (se ha utilizado en las comunicaciones con las sondas Voyager, por ejemplo). Entonces, ¿por qué no puede subyacer también alguna estructura relevante bajo el grupo monstruo F1?
Teoría de las cuerdas
Pasaron varios años hasta que los matemáticos lograran demostrar la existencia del grupo monstruo (lo logró Robert Griess en 1982). En 1992, el matemático Richard Ewen Borcherds , demostró rigurosamente que sí existía ese puente entre el grupo monstruo y la función j: la teoría de cuerdas , esa contraintuitiva idea de que el universo tiene pequeñas dimensiones ocultas, imposibles de medir por ser demasiado pequeñas, pero que producen los efectos físicos que diariamente experimentamos a escala macroscópica. Los coeficientes de la función j cuentan la forma en que las cuerdas pueden oscilar en cada nivel de energía. Y el grupo monstruo proporciona la simetría del modelo en esos niveles de energía. Esta relación entre ambos conceptos ha permitido a los matemáticos averiguar más sobre el grupo monstruo F1, ya que los coeficientes de la función j son fáciles de calcular. El matemático John Duncan explica perfectamente el procedimiento: "La matemática trata de construir puentes en los que por un lado se ve más claramente que por el otro".
Borcherds recibió la medalla Fields en 1998 por este trascendente trabajo (supervisado, por cierto, por el anteriormente escéptico Conway), como no podía ser de otra manera. La peripecia vital, tanto académica como personal, de este investigador es, en sí misma, sorprendente. En el siguiente enlace podemos leer un pequeño artículo, en inglés, de sólo dos páginas escrito por Borcherds explicando con sus propias palabras qué es el grupo monstruo.
Así pues, gracias a las matemáticas, los físicos tratan de entender, profundizar y explicar la teoría de cuerdas desde otra perspectiva, la que da el estudio de las simetrías (y por tanto la teoría de grupos, que como ya explicamos, estudia básicamente eso, las simetrías, tanto en el mundo real, como en hipotéticos mundos de más dimensiones).
Pero el tema no acaba aquí, porque, como sucede siempre en matemáticas (y no en otras ciencias en las que el filón investigador, a veces, se agota), una vía de trabajo abre otras muchas por las que explorar (para los más reticentes: sí, vías muy abstractas, muy teóricas, que a día de hoy puede que no tengan aplicaciones reales, pero que quizá las tengan en el futuro, como ya ha pasado, y los matemáticos no nos cansamos en mostrar. La investigación matemática, la científica en general, no produce en la mayor parte de las ocasiones resultados inmediatos, tangibles, económicamente sustanciales, que desgraciadamente es lo que desea toda sociedad materialistamente infantilizada; en fin, retomemos la cuestión, que siempre recaigo en la pincelada de opinión).
Moonshine umbral
En 2012, los matemáticos Miranda Cheng, John Duncan y Jeffrey Harvey presentaron una nueva conjetura relacionada con el grupo monstruo: la conjetura moonshine umbral , o la conjetura de la sombra del moonshine, podría traducirse, no he visto traducción al castellano allí donde he buscado. La denomino así porque surge “a la sombra” de las propiedades del grupo monstruo. Viene a decir (tratando de esquivar tecnicismos) que existen otras 23 conexiones entre las dimensiones de grupos de simetría del grupo monstruo y los coeficientes de determinadas funciones especiales. Y para más fascinante casualidad, al menos tres de esas funciones aparecen explícitamente escritas en los cuadernos que Srinivasa Ramanujan dejó entre 1913 y 1920, a las que no se había encontrado explicación ni justificación alguna. Como sabrán, tanto por algún artículo de divulgación como por biografías, o la película El hombre que conocía el infinito (2015), Ramanujan no tuvo una educación matemática formal, y no concebía que los resultados hubieran de ser demostrados, sino que bastaba con que “funcionaran”. Afirmaba que todas las asombrosas fórmulas que plasmó en sus célebres cuadernos, algunas erróneas, pero la mayoría correctas y a otras aún no se ha encontrado explicación, le eran transmitidas en sueños por la diosa Namagiri. La imagen adjunta muestra la última carta que Ramanujan escribió a G. H. Hardy . En ella decía que había descubierto las funciones “theta simuladas” (originalmente, “mock theta”; tampoco he visto traducción). Daba 17 ejemplos de tales funciones, pero no indicaba a qué obedecían, ni para qué servían.
En 2002, Sander Zwegers , entonces alumno graduado, hoy profesor de la Universidad de Colonia, descubrió que eran ejemplos de funciones modulares simuladas. Cheng, Duncan y Harvey demostraron que toda función modular simulada tiene asociada una forma modular, algo así como su “sombra”. Por eso el nombre que dieron a su conjetura. Varias de esas funciones están entre las 17 que inexplicablemente escribió Ramanujan. Lejos de terminar, las sorpresas y los nuevos descubrimientos continúan, pero, a modo de Fermat, esta reseña ya va siendo demasiado larga…
El objeto inicial de esta columna era indicar un ejemplo de cómo la ficción puede superar la realidad (hasta ahora todo lo que he descrito refleja más bien lo contrario).
Termino con él. La clasificación de los grupos simples finitos (que da origen al llamado teorema enorme , el más grande conocido hasta la fecha, con 15.000 páginas de desarrollo) no fue un hecho hasta 1982 – 1983, aproximadamente. Equivocadamente, porque hasta el año 2004 no se ha zanjado (¿definitivamente?) dicha clasificación. Pero en el año 1979, no había viso alguno de que esta ciclópea empresa pudiera ni de lejos estar terminada. Y en 1979, se rueda la película Ahora me toca a mí (It´s my turn, Claudia Weill, 1980). En esta nada destacable producción desde el punto de vista cinematográfico, se dan un par de circunstancias cuanto menos curiosas. La protagonista es una matemática (interpretada por Jill Clayburgh), que al inicio de la película realiza una demostración impecable del conocido como lema de la serpiente , de álgebra homológica , al punto de ser citada en libros “serios y rigurosos” de esta materia como la mejor explicación posible de dicho lema (en este enlace pueden verse más detalles, si lo desean, en las páginas 2 a 6) , y en segundo lugar, porque indica que está trabajando en la clasificación de los grupos simples, y a punto de publicar sus resultados.
En cualquier caso, y como recomendación personal y aplicable a todo en la vida, hagan caso del escepticismo de Conway y Norton. Las casualidades, mientras no se demuestren rigurosamente y sin errores, son sólo eso, casualidades
El ABCDARIO DE LAS MATEMÁTICAS es una sección que surge de la colaboración con la Comisión de Divulgación de la Real Sociedad Matemática Española (RSME).
Alfonso J. Población Sáez es profesor de la Universidad de Valladolid y miembro de la Comisión de divulgación de la RSME.
El teorema más largo de la Historia y otras «monstruosidades» matemáticas
Esta funcionalidad es sólo para suscriptores
Suscribete
Esta funcionalidad es sólo para registrados
Iniciar sesiónEsta funcionalidad es sólo para suscriptores
Suscribete