Salvar el mundo como Bruce Willis, un imposible científico
Investigadores dicen que haría falta una bomba mil millones de veces más potente que la «Gran Iván», la más poderosa detonada por la humanidad, para poder partir en dos un asteroide que se dirija contra la Tierra
j. de j.
En la famosa película Armageddon (Michael Bay, 1998), Bruce Willis interpreta a un ingeniero de una plataforma de perforación de petróleo que aterriza en la superficie de un asteroide disparado hacia la Tierra, taladra el centro y hace estallar un arma ... nuclear, dividiendo el asteroide por la mitad. Las dos piezas resultantes pasan a ambos lados de nuestro planeta, salvándolo de la destrucción. Nada más lejos de la realidad, según una investigación realizada por estudiantes de la Universidad de Leicester (Reino Unido), que asegura que esa técnica no podría funcionar.
De acuerdo con la histeria que rodea al antiguo calendario maya , un asteroide podría estar en camino para acabar con el mundo el 21 de diciembre de 2012. Obviamente, esto es bastante improbable, pero si una roca espacial realmente se cruzara en nuestro camino, ¿podríamos seguir el ejemplo de la película Armageddon? Para los estudiantes de Leicester la respuesta es definitivamente no. La humanidad no dispone de una bomba lo suficientemente potente.
Los estudiantes descubrieron que el dispositivo tendría que ser alrededor de mil millones de veces más fuerte que la mayor bomba detonada en la Tierra , la bomba de hidrógeno de 50 megatones de la Unión Soviética «Gran Iván» o «bomba del Zar», a fin de salvar al mundo de un asteroide de tamaño similar.
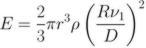
Para ello, idearon una fórmula (arriba, a la izquierda) para encontrar la cantidad total de energía cinética que se necesita en relación con el volumen de los asteroides, su densidad, el radio de distancia de seguridad -que se tomó como el radio de la Tierra más 643 km-, la velocidad del asteroide antes de la detonación y su distancia de la Tierra en el momento de la detonación.
Utilizando las medidas y las propiedades del asteroide como se indica en la película, la fórmula reveló qu e serían necesarios 800 billones de terajulios de energía para dividir el asteroide en dos y que ambas piezas dieran esquinazo a la Tierra. Sin embargo, la producción total de energía de la «Gran Iván» solo llega a 418.000 terajulios.
Dividido en el punto exacto
Los investigadores creen que habría que construir una bomba cerca de mil millones de veces más fuerte que el arma más poderosa jamás construida con el fin de salvar al mundo de esta manera. También señalan que los científicos tendrían que detectar el asteroide mucho antes para tener alguna posibilidad de dividir el asteroide a tiempo. Además de esto, el asteroide tendría que ser dividido casi en el punto exacto.
Esto no le daría tiempo a nuestro Bruce a viajar al asteroide y perforar en el centro. «Y mucho menos a compartir los momentos importantes con Ben Affleck y Liv Tyler», bromean los investigadores. «Un método alternativo podría ser mover el asteroide con métodos de propulsión. Lo cierto es que la mayoría de los métodos requieren una detección precoz de los asteroides y una planificación muy cuidadosa», dicen.
Los autores del estudio creen que los directores de Hollywood tratan de hacer películas científicamente precisas , pero al descubrir un montón de incovenientes para sus argumentos, acaban por falsificar la realidad científica para hacer películas más interesantes o visualmente atractivas para el público.
Noticias relacionadas
- Un cometa cercano a la Tierra, descubierto por astrónomos españoles
- Hallan el cráter de impacto más antiguo de la Tierra
- El meteorito de los dinosaurios «pintó» de rojo los tomates
- Un asteroide cercano a la Tierra, el doble de grande de lo que se creía
- El «evento Tunguska», ¿provocado por un meteorito?
- 4.700 asteroides amenazan la Tierra
- Un asteroide de 48 metros «roza» la Tierra el Domingo de Ramos
- El asteroide más cercano jamás detectado llegará a la Tierra en 2013
- Un gran asteroide puede amenazar la Tierra en 2040
- Asteroides: tres soluciones contra la gran amenaza
- La ciencia detrás de Batman
Esta funcionalidad es sólo para suscriptores
Suscribete
Esta funcionalidad es sólo para registrados
Iniciar sesiónEsta funcionalidad es sólo para suscriptores
Suscribete