El genial matemático «tartaja» que lanzó por despecho el gran desafío algebraico de Milán
En la Italia del Renacimiento se celebraban retos públicos para ver quién era capaz de resolver problemas de ecuaciones. El más famoso es el que enfrentó a Nicolo Fontana «Tartaglia» y Ludovico Ferrari en agosto de 1548
Fernando Corbalán
Hubo un tiempo, en la Italia del Renacimiento, en que sucedía algo difícil de pensar en nuestro tiempo: había desafíos públicos para ver quién resolvía mejor problemas de ecuaciones , con premios importantes, público ruidoso y abundante, y donde los jurados eran autoridades políticas ... destacadas.
Noticias relacionadas
Hubo varios de esos desafíos, pero aquí nos vamos a ocupar del más famoso de ellos: el que tuvo lugar en Milán el 10 de agosto de 1548 siendo los contendientes a Nicolo Fontana (1499-1557), más conocido por el poco amable sobrenombre de ‘Tartaglia’ (tartaja o tartamudo) y Ludovico Ferrari (1522-65). El árbitro de mismo fue don Ferrante de Gonzaga , gobernador de Milán, que acudió junto con personalidades relevantes de la ciudad. Pero había un personaje ausente de forma voluntaria, que era el causante del desafío: Jerolamo Cardano (1501-76). Como se intuye un asunto complejo que intentaremos resumir y clarificar.
El álgebra
El algebra es la parte de las matemáticas que se ocupaba en la época de la resolución de ecuaciones: igualdades entre expresiones literales que no son ciertas para todos los valores de las letras (cuando son siempre verdaderas se trata de identidades). Tenía ya en el siglo XVI una larga historia y resultados notables, obtenidos sobre todo por los matemáticos musulmanes, con una mención especial a quien le había dado nombre: Mahommed ibn Musa al-Khwarizmi (c.780-c.835), que trabajó de bibliotecario y astrónomo en Bagdad, entonces una de las ciudades más importantes del planeta y gran foco de irradiación cultural, en la corte del califa abasí Abdullah al-Ma’mun (el que aparece en ‘Las mil y una noches’). Este personaje escribió un libro titulado ‘Al-jebr w’al-muqabala’, que quiere decir en castellano ‘transposición y eliminación’. Por transposición o restauración (al-jebr) se entiende el cambio o la transferencia de términos de uno al otro miembro de una ecuación, la restauración del equilibrio; y por eliminación (al-muqabala) la cancelación o simplificación, la supresión de términos iguales en ambos miembros de la misma.
Es interesante destacar que, como prueba de la extraordinaria importancia de su libro, el nombre de Al-Khwarizmi lo utilizamos ya como una palabra autónoma, porque ha acabado siendo, en todos los idiomas, el término matemático ‘algoritmo’ , un método o conjunto de reglas de cálculo para obtener un resultado. E incluso su ámbito ha acabado excediendo las matemáticas y se conoce como ‘algoritmo’ un proceso explícito y efectivo para obtener un resultado cualquiera en nuestra vida cotidiana (por ejemplo para poner en marcha un ordenador o hacer que una lavadora deje limpio un determinado tipo de ropa). Y su importancia es capital en la economía digital, que funciona a golpe de algoritmos cada vez más sofisticados que ya gobiernan muchos aspectos de nuestra actividad y están llamados a hacerlo más en el futuro.
Cuando llegamos al siglo XVI ya se saben resolver todas las ecuaciones de segundo grado. Esas que estudiamos en secundaria en que para resolver la ecuación
Y también sabían resolver algunos casos particulares de ecuaciones de grados superiores, pero no las ecuaciones generales de grado mayor que dos.
Los desafíos algebraicos en la Italia del siglo XVI
Tartaglia había ganado un desafío a Del Fiore en 1534 en el que había demostrado que sabía resolver algunos tipos bastante generales de ecuaciones de tercer grado, más que las que era capaz de resolver su adversario, quien había conocido un método de hacerlo en algún tipo particular de ellas que le había enseñando en secreto su maestro Del Ferro. Cardano había escrito un libro de matemáticas que le había dado fama y cuando se disponía a escribir otro sobre álgebra le escribe a Tartaglia pidiéndole que le cuente su método, a lo que, como era de esperar, este se niega. Pero continúa escribiéndole y en una carta le dice que venga a su casa de Milán, que le presentará a su protector, el Marqués del Vasto , gobernador de Milán nombrado por el emperador Carlos V , entonces protector suyo y conocido mecenas (hay que recordar que en la época el norte de Italia estaba en disputa entre Carlos V y el rey de Francia, y que en esa época había ganado el primero).
Aceptó Tartaglia la invitación pero cuando llegó del Vasto no estaba en Milán. Cardano hizo todo lo posible para convencerle para que le dijera su forma secreta de resolver la ecuación cúbica. Le aseguró: ‘Os juro sobre los Santos Evangelios que si me comunicáis vuestros descubrimientos no los publicaré jamás y los anotaré sólo para mí en cifra, a fin de que nadie pueda comprenderlos hasta después de mi muerte’ (y no hay que olvidar que otra de las habilidades de Cardano era la criptografía). Sus ruegos tuvieron sus frutos, puesto que Tartaglia le comunicó su procedimiento , tras lo que regresó a Venecia.
Continuaron la relación epistolar Cardano y Tartaglia, donde el primero le pide precisiones sobre algunos temas, hasta que Tartaglia deja de escribirle. Entonces Cardano, junto con su criado y discípulo Ferrari se enteran de que ya Del Fiore conocía una fórmula para resolver determinados tipos de ecuaciones de tercer grado, por lo que le visitan y éste se la cuenta. Con eso Cardano se considera liberado de su promesa y poco después, en 1545, publica una obra capital en el desarrollo del Algebra: el ‘Ars Magna’ .
En él, ya en el primer capítulo, comenta el estado de la resolución de la ecuación de tercer grado y quienes intervinieron en los logros en la misma: ‘Escipión del Ferro, de Bolonia, resolvió hace tiempo de una forma verdaderamente bella y admirable el caso del cubo y de la cosa iguales a número [es decir ecuaciones que en nuestra notación actual serían x3+ px = q ]. Tal arte, superando a toda humana sutileza y al esplendor de todo ingenio mortal, atestigua el valor de su mente, y es cosa de tanta maravilla que quien la ha inventado puede vanagloriarse de que nadie le superará. Émulo suyo es mi amigo Nicolás Tartaglia, de Brescia, quien, en una disputa que sostuvo con Antonio María del Fiore, discípulo de Escipión del Ferro, también lo encontró y me lo comunicó a mi ruego, sin demostración, la cual he redactado en diferentes casos con el auxilio de mi antiguo discípulo Ludovico Ferrari. Lo de éste va con su nombre y todo lo demás es cosa mía’. Es decir, que da cuenta de quién tiene el mérito de cada cosa.
Pero Tartaglia se lo tomó muy a mal, y le lanzó un desafío que Cardano nunca aceptó , pasándole la defensa a Ferrari, algo que al principio Tartaglia no aceptaba pero que al final, tras varios años de desafíos cruzados, con problemas de álgebra que cada uno de los dos proponía al otro y que involucraban ecuaciones de tercer y cuarto grado, finalmente tuvo lugar en Milán en 1548. En un momento del mismo hubo una discusión por uno de los problemas propuestos por Ferrari que Tartaglia no había resuelto . Se decidió un aplazamiento del desafío hasta el día siguiente. Pero entonces Tartaglia no se presentó (según escribió después porque la gente asistente, partidaria de Ferrari, le molestaba y no le dejaba explicar sus argumentos), por lo que obviamente se dio como ganador a Ferrari. Hay que considerar que Tartaglia tenía dificultades para expresarse por sus problemas físicos de habla, lo que es fácil que tuviera que ver con el resultado de un desafío en el que primaba el uso de la palabra. Recordemos en cualquier caso que la única versión escrita que existe de toda esta polémica es la de Tartaglia en su libro ‘Quesiti et inventioni diverse’, y que no es muy clara ni explícita.
Después de ganar este desafío la carrera de Ferrari despegó , teniendo lucrativas ofertas de trabajo, aunque por desgracia su vida terminó pronto, presuntamente por envenenamiento de su hermana. Por el contrario el devenir profesional de Tartaglia no fue muy brillante: le negaron el salario de profesor en Brescia que venía ejerciendo y tuvo que regresar a su humilde trabajo anterior. Esas eran las diferentes consecuencias de ganar o perder un desafío.
Resolución de la ecuación de tercer grado por Cardano
Es hora ya de dar la fórmula para resolver ecuaciones de tercer grado, lo que haremos usando la notación actual (mucho más ligera y legible que la usada en el siglo XVI). Se trata de encontrar las raíces de una ecuación
que con un cambio de variable
Se transforma en una ecuación de tercer grado sin término en y2. Luego basta con encontrar las raíces de una ecuación del tipo
La astucia de Cardano es hacer x = u + v, introduciendo dos incógnitas en vez de una. El interés de este cambio, no evidente a priori, es tener otro grado de libertad. La ecuación inicial se transforma en
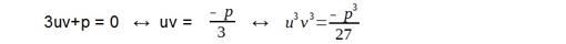
y es ahora cuando se ve el interés del cambio. Como tenemos dos incógnitas se puede imponerles una relación suplementaria, que en este caso será
lo que hace desaparecer uno de los términos de la ecuación que queda
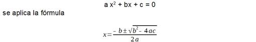
Conocemos por tanto la suma y el producto de u3 y v3. Pero es un resultado sabido que si se conoce la suma S y el producto P de dos números, estos son raíces de la ecuación de segundo grado
Luego en nuestro caso, u3 y v3 son las raíces de
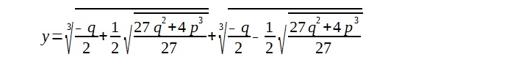
Una vez conocidas u3 y v3 se extraen sus raíces cúbicas, se suman y tenemos el valor de x: la solución de la ecuación inicial. Es decir, la conocida como fórmula de Cardano (o de Cardano-Tartaglia) para la resolución de las ecuaciones de tercer grado:
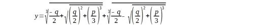
O su expresión equivalente más sencilla
Pero este procedimiento es aplicable sin problemas cuando el discriminante de la ecuación de segundo grado
es positivo. En ese caso la ecuación de tercer grado tiene una sola solución real. Cuando es negativo, no hay soluciones reales, y es donde aparecen los problemas porque hay que introducir los números imaginarios, totalmente desconocidos en la época (pero que ya intuyeron tanto Cardano como poco después Bombelli).
Cómo se escribía en la época
Vemos que eran razonamientos complicados. Y que se deben valorar más si tenemos en cuenta los grandes problemas que añadían las notaciones. Como ejemplo, lo que nosotros en terminología moderna escribimos (y que aparece en la solución de un problema del ‘Ars Magna’)
en el libro de Cardano se escribía así (usando R para la raíz cuadrada, p para el signo ‘más’ y m para ‘menos’)
5p: Rm:15
5m: Rm:15
25m:m: 15 qd. est 40
Para terminar traemos el comentario del matemático italo-francés G. Libri en su famosa ‘Historia de las ciencias matemáticas en Italia desde el renacimiento de las letras al final del siglo XVII’ sobre cuál era la situación: ‘Al ver los problemas de tercer grado que se proponían como desafío a principios del siglo XVI, se comprende la importancia que se daba entonces a los descubrimientos algebraicos, siendo difícil encontrar en la historia de la Ciencia un ejemplo semejante. Las apuestas y discusiones públicas se sucedían sin interrupción , interesándose en ellas todas las clases sociales, como en la antigüedad se interesaban por los desafíos de los poetas y los combates de los gladiadores’.
Y hay que recordar que los hechos y los personajes a los que nos hemos referido son contemporáneos de artistas como Tiziano (c1490-1576) o Miguel Angel (1474-1564) o de la construcción de la Basílica de San Pedro del Vaticano (1506-90). Y si es menos conocido ahora a nivel popular no es porque sus logros sean menos importantes, sino por el tradicional menor reconocimiento de los resultados científicos que los artísticos.
Fernando Corbalán es profesor de la Universidad de Zaragoza y miembro de la Comisión de divulgación de la Real Sociedad Matemática Española (RSME).
El ABCdario De Las Matemáticas es una sección que surge de la colaboración con la Comisión de Divulgación de la RSME.
El genial matemático «tartaja» que lanzó por despecho el gran desafío algebraico de Milán
Esta funcionalidad es sólo para suscriptores
Suscribete
Esta funcionalidad es sólo para registrados
Iniciar sesiónEsta funcionalidad es sólo para suscriptores
Suscribete